调节阀知识
阀门首页 > 阀门知识 > 调节阀知识 > 调节阀的节流原理
调节阀是一个局部阻力可以变化的节流元件。
调节阀的流通能力为

式中,Q为调节阀接管内的流体流量,m3/h;p1、p2为分别为调节阀前后的压力,
Pa;P为流体密度,kg/m3。
对于某一种类规格的调节阀,其允许流通能力随开度而变化,在某一开度下,流通能力
为定值,通过的流量取决于阀前后的作用压差。
调节阀的流通能力与阻抗S关系为

调节阀的流量特性
(1)调节阀的流量特性
指流体介质流过调节阀的相对流量与调节阀的相对开度之间的特定关系
(2)理想流量特性(固有流量特性)
当调节阀前后压差固定不变时,所得到的流量特性。典型的4种理想流量特性类型:直线、等百分比(对数)、快开和抛物线流量特性。需注意调节阀的理想流量特性取决于阀芯的形状。
(3)调节阀的工作流量特性
所谓调节阀的工作流量特性是指调节阀在前后压差随负荷变化的工作条件下,调节阀的相对开度与相对流量之间的关系。
直通调节阀有串联管道时的工作流量特性。分析的条件是:调节阀与其串联管道组成的系统两端总压差一定。
(4)直通调节阀的实际可调比
调节阀在实际使用中,由于调节阀上压差随着串联管道阻力改变或打开调节阀旁路(并联管道),使调节阀的可调比改变,这时调节阀实际所能控制的最大流量与最小流量的比值称为实际可调比。
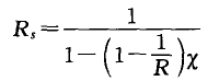
管道串联时,实际可调比为

管道并联时,实际可调比为

式中,SV称为阀权度或阀门能力(表示调节阀全开时间前后压差与系统总压差的比值),R=Qmax/Qmin,其中Qmax、Qmin分别为管道的最大流量和最小流量,x=Qlmax/Qmax,其中Q1max、Qmax分别为阀门全开时流过阀的流星和管道的最大流量。